Kalkulator rat leasingowych i kredytowych
Wybierz formę finansowania i dostosuj parametry, aby oszacować miesięczną ratę i całkowity koszt.
Wyniki Kalkulacji
Wybierz Najkorzystniejsze Finansowanie – Free & Easy Kalkulator Rat
Chcesz dokładnie obliczyć, ile będziesz płacić miesięcznie za leasing lub kredyt? Nasz Kalkulator Rat Leasingowych i Kredytowych pomoże Ci w prosty sposób obliczyć miesięczną ratę i całkowity koszt leasingu lub kredytu na podstawie kwoty pożyczki, oprocentowania, okresu kredytowania oraz wkładu własnego. Dzięki temu narzędziu uzyskasz dokładne dane, które pozwolą Ci dokonać świadomego wyboru finansowego, zaplanować budżet oraz ocenić, czy wybrany kredyt lub leasing jest dla Ciebie opłacalny.
Czy jesteś zainteresowany leasingiem samochodu, kredytem na zakup nieruchomości, czy pożyczką na sprzęt? Nasz kalkulator umożliwia szybkie obliczenia dla różnych form finansowania. W tym artykule szczegółowo wyjaśnimy, jak działa kalkulator, jakie dane musisz wprowadzić, jakie korzyści płyną z korzystania z tego narzędzia, a także odpowiemy na najczęściej zadawane pytania (FAQ), byś mógł w pełni wykorzystać jego funkcjonalności.
Co to Jest Kalkulator Rat Leasingowych i Kredytowych?
Kalkulator Rat Leasingowych i Kredytowych to narzędzie, które pozwala na szybkie obliczenie miesięcznych rat leasingowych lub kredytowych na podstawie kilku danych, takich jak:
- Kwota pożyczki lub leasingu (główna wartość przedmiotu),
- Oprocentowanie roczne (APR),
- Okres kredytowania/leasingu (w latach lub miesiącach),
- Wkład własny (jeśli taki jest wymagany, np. przy leasingu).
Kalkulator pomaga użytkownikom obliczyć wysokość miesięcznej raty, całkowity koszt kredytu lub leasingu, a także łączną kwotę odsetek, które będą musieli zapłacić przez cały okres kredytowania.
Dzięki temu narzędziu:
- Dowiesz się, ile będziesz płacić miesięcznie za kredyt lub leasing.
- Poznasz całkowity koszt pożyczki lub leasingu, uwzględniając wszystkie odsetki.
- Będziesz w stanie zaplanować swój budżet na przyszłość, uwzględniając miesięczne zobowiązania.
Dlaczego warto skorzystać z Kalkulatora Rat Leasingowych i Kredytowych?
- Precyzyjne obliczenia: Kalkulator daje Ci dokładny wynik obliczeń, uwzględniając wszystkie zmienne (kwota, oprocentowanie, termin kredytu) i dodatkowe koszty (np. wkład własny).
- Szybkie planowanie budżetu: Kalkulator pomoże Ci w prosty sposób zaplanować miesięczne wydatki i dowiedzieć się, jakie będą Twoje miesięczne raty.
- Porównanie różnych opcji finansowania: Kalkulator umożliwia porównanie różnych opcji kredytowych i leasingowych pod kątem oprocentowania, kwoty pożyczki i okresu kredytowania.
- Lepsze zrozumienie kosztów: Dowiesz się, ile zapłacisz łącznie przez cały okres kredytowania i jak oprocentowanie wpływa na całkowity koszt kredytu.
Jak Działa Kalkulator Rat Leasingowych i Kredytowych?
Krok 1: Wprowadzenie kwoty pożyczki lub leasingu
Pierwszym krokiem w używaniu kalkulatora jest podanie kwoty pożyczki lub wartości przedmiotu w leasingu. Jest to całkowita cena pojazdu, nieruchomości, sprzętu lub innego przedmiotu, który finansujesz. Możesz wpisać kwotę brutto (łącznie z VAT-em) lub kwotę netto, w zależności od Twoich potrzeb.
Krok 2: Wprowadzenie oprocentowania rocznego (APR)
W kolejnym kroku musisz podać oprocentowanie roczne (Annual Percentage Rate – APR), czyli roczną stopę procentową. Oprocentowanie jest jednym z kluczowych czynników, które mają wpływ na wysokość miesięcznej raty. Wyższe oprocentowanie oznacza wyższe raty miesięczne.
Krok 3: Okres kredytowania/leasingu
Podaj okres kredytowania lub leasingu, który może wynosić od 12 miesięcy do 5 lat lub więcej. Dłuższy okres kredytowania obniży wysokość miesięcznej raty, ale zwiększy łączny koszt kredytu, ponieważ zapłacisz więcej odsetek.
Krok 4: Wprowadzenie wkładu własnego (jeśli dotyczy)
Jeśli w przypadku kredytu lub leasingu wymagany jest wkład własny, wprowadź jego wartość. Wkład własny zmniejsza kwotę pożyczki, a tym samym zmniejsza wysokość miesięcznej raty. Wkład własny może wynosić np. 10-30% wartości pojazdu lub nieruchomości.
Krok 5: Kliknięcie przycisku „Oblicz ratę miesięczną”
Po wprowadzeniu wszystkich danych kliknij przycisk „Oblicz ratę miesięczną”, aby uzyskać wynik. Kalkulator automatycznie obliczy:
- Miesięczną ratę,
- Całkowity koszt kredytu lub leasingu (w tym odsetki),
- Całkowite odsetki do zapłaty.
Krok 6: Zobaczenie wyników
Po kliknięciu przycisku „Oblicz ratę miesięczną”, kalkulator wyświetli:
- Wysokość miesięcznej raty na podstawie wprowadzonej kwoty, oprocentowania, okresu i wkładu własnego,
- Całkowity koszt kredytu/leasingu (w tym odsetki),
- Całkowite odsetki zapłacone przez cały okres kredytowania.
Kalkulator pozwala łatwo przewidzieć koszty paliwa na wakacyjny wyjazd
Przykład Obliczenia
Załóżmy, że chcesz wziąć kredyt na zakup samochodu w wysokości 50,000 PLN z oprocentowaniem 7% rocznie, na 3 lata (36 miesięcy), a wkład własny wynosi 10%.
Krok 1: Kwota pożyczki/leasingu
- Kwota pożyczki: 50,000 PLN,
- Wkład własny: 10% (czyli 5,000 PLN),
- Kwota pożyczki po odjęciu wkładu własnego: 45,000 PLN.
Krok 2: Oprocentowanie
- Oprocentowanie roczne: 7%.
Krok 3: Okres kredytowania/leasingu
- Okres: 36 miesięcy (3 lata).
Obliczenia:
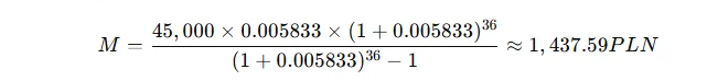
1. Miesięczna rata (używając wzoru na ratę kredytową): M=P×r×(1+r)n(1+r)n / (1+r)n−1
- gdzie:M to miesięczna rata,
- PPP to kwota pożyczki (45,000 PLN),
- rrr to miesięczna stopa procentowa (7% rocznie / 12 miesięcy = 0.005833),
- nnn to okres kredytowania w miesiącach (36 miesięcy).
Podstawiając wartości:

2. Całkowity koszt kredytu: 1,437.59 PLN×36 miesięcy=51,830.24 PLN
3. Całkowite odsetki: 51,830.24 PLN−45,000 PLN=6,830.24 PLN
Wynik: Miesięczna rata wynosi 1,437.59 PLN, a całkowity koszt kredytu to 51,830.24 PLN. Całkowite odsetki to 6,830.24 PLN.
Korzyści z Kalkulatora Rat Leasingowych i Kredytowych
1. Precyzyjne obliczenia miesięcznych rat
Kalkulator daje dokładny wynik miesięcznej raty na podstawie wszystkich danych wprowadzonych przez użytkownika. Dzięki temu można dokładnie zaplanować budżet i uniknąć nieprzyjemnych niespodzianek związanych z nadmiernymi kosztami.
2. Planowanie finansowe
Z kalkulatorem łatwiej zaplanujesz swoje finanse, ponieważ narzędzie oblicza całkowity koszt kredytu i odsetki, które trzeba będzie zapłacić przez cały okres kredytowania. Dzięki temu podejmiesz świadome decyzje finansowe.
3. Porównanie różnych opcji
Kalkulator pozwala na porównanie różnych opcji kredytowych lub leasingowych. Dzięki temu możesz wybrać najlepszą ofertę, uwzględniając oprocentowanie, okres kredytowania oraz wysokość wkładu własnego.
4. Optymalizacja kosztów
Dzięki kalkulatorowi użytkownicy mogą dostosować okres kredytowania lub kwotę pożyczki, aby uzyskać najkorzystniejszą miesięczną ratę. Możesz także porównać różne oferty leasingowe lub kredytowe, co pomoże w podjęciu decyzji o najtańszym rozwiązaniu.
FAQ – Najczęściej Zadawane Pytania
1. Co to jest oprocentowanie roczne (APR)?
Oprocentowanie roczne (APR) to roczna stopa procentowa, która określa, ile odsetek zapłacisz od pożyczki lub leasingu w ciągu roku. Jest to kluczowy parametr przy obliczaniu miesięcznych rat kredytu lub leasingu.
2. Jak kalkulowane są miesięczne raty?
Miesięczna rata obliczana jest na podstawie kwoty pożyczki, oprocentowania oraz okresu kredytowania. Wzór, który wykorzystuje kalkulator, uwzględnia wszystkie te elementy i daje dokładny wynik.
3. Czy kalkulator uwzględnia wszystkie dodatkowe koszty?
Kalkulator oblicza tylko raty kredytu lub leasingu na podstawie wprowadzonych danych. Dodatkowe koszty, takie jak ubezpieczenie czy koszty dodatkowe, można dodać ręcznie do wyników, jeśli są wymagane.
4. Czy mogę porównać różne oferty kredytowe?
Tak, kalkulator umożliwia porównanie różnych oprocentowań i okresów kredytowania, dzięki czemu możesz wybrać najkorzystniejszą ofertę kredytową lub leasingową.
5. Czy kalkulator obsługuje pojazdy elektryczne?
Tak, kalkulator uwzględnia pojazdy elektryczne i może obliczyć koszt leasingu lub kredytu dla pojazdów elektrycznych.
6. Czy mogę dodać wkład własny?
Tak, kalkulator umożliwia wprowadzenie wkładu własnego, który zmniejsza kwotę pożyczki i tym samym obniża wysokość miesięcznych rat.